|
|
ДД-303-И, ДД-303-Д, Датчики давления, перепада давлений
Датчики давления ДД-303-И и пере
Датчики давления ДД-303-И и
перепада давлений ДД-303-Д
Назначение
Датчики
предназначены для преобразования давлений и перепадов давлений жидких и
газообразных сред в стандартный электрический выходной сигнал 4…20 мА. Область
применения – технологические аппараты химической, нефтехимической, медицинской и
других отраслей промышленности.
Принцип действия
Принцип действия
датчиков заключается в преобразовании входного сигнала (давления или перепада
давлений) дифференциальным датчиком давления фирмы МОТОROLA (интегральным
транзисторным преобразователем) в электрический сигнал, пропорциональный
измеряемому давлению (перепаду давлений) с последующим преобразованием его с
помощью электронной схемы в стандартный выходной сигнал 4-20 мА с питанием по
двухпроводной линии напряжением (20 ± 4) В постоянного тока.
Исполнения
Датчики выпускаются
в исполнениях согласно таблице.
| Код
исполнения датчика |
Наличие разделителя |
Диапазон измерения, кгс/см2 |
Материал,
контактирующий со средой |
|
ДД-303-И-1-0,1
ДД-303-И-1-0,5
ДД-303-И-1-1,0
ДД-303-И-1-2,0
ДД-303-И-1-7,0 |
Без
разделителя |
0 ...
0,1
0 ... 0,5
0 ... 1,0
0 ... 2,0
0 ... 7,0 |
Сплав
Д16 |
|
ДД-303-И-2-0,1
ДД-303-И-2-0,5
ДД-303-И-2-1,0
ДД-303-И-2-2,0
ДД-303-И-2-7,0 |
С
разделителем |
0 ...
0,1
0 ... 0,5
0 ... 1,0
0 ... 2,0
0 ... 7,0 |
Сталь
12Х18Н10Т
ГОСТ 5632-72,
фторопласт Ф-10
ТУ 6-05-041-538-83 |
|
ДД-303-Д-1-0,1
ДД-303-Д-1-0,5
ДД-303-Д-1-1,0
ДД-303-Д-1-2,0
ДД-303-Д-1-7,0 |
Без
разделителя |
0 ...
0,1
0 ... 0,5
0 ... 1,0
0 ... 2,0
0 ... 7,0 |
Сплав
Д16 |
|
ДД-303-Д-2-0,1
ДД-303-Д-2-0,5
ДД-303-Д-2-1,0
ДД-303-Д-2-2,0
ДД-303-Д-2-7,0 |
С
разделителем |
0 ...
0,1
0 ... 0,5
0 ... 1,0
0 ... 2,0
0 ... 7,0 |
Сталь
12Х18Н10Т
ГОСТ 5632-72,
фторопласт Ф-10
ТУ 6-05-041-538-83 |
Технические данные
Параметры
контролируемой среды:
- температура от минус 40 до плюс 60°С;
- датчики не могут использоваться для работы с жидкостями, кристаллизующимися,
загустевающими или выпадающими в осадок в условиях эксплуатации.
Давление измеряемой среды для датчиков перепада давлений, кгс/см2, не
более:
ДД-303-Д-1-0,1; ДД-303-Д-2-0,1...............................0,5
ДД-303-Д-1-0,5; ДД-303-Д-2-0,5...............................1,5
ДД-303-Д-1-1,0; ДД-303-Д-2-1,0...............................3,0
ДД-303-Д-1-2,0; ДД-303-Д-2-2,0...............................3,0
ДД-303-Д-1-7,0; ДД-303-Д-2-7,0...............................10,0
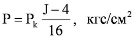
Значение контролируемого давления (перепада давлений) определяется по формуле:

где РК –
значение давления, соответствующее концу контролируемого диапазона давлений
(перепада давлений), кгс/см2;
J – измеренное значение выходного тока, мА.
Отклонение действительной характеристики преобразования от зависимости,
приведенной в формуле, от верхнего значения диапазона измерения давления
(перепада давлений), не более – 1%
Характеристики электрических цепей:
напряжение питания, В - 20 ± 1
номинальное значение выходного тока
при нагрузочном сопротивлении 100 Ом, мА - от 4 до 20
предельное сопротивление нагрузки, включая
сопротивление линии связи, Ом, не более - 220
вид нагрузки - активная
Электрические параметры:
емкость, мкФ, не более - 0,02
Потребляемая мощность, Вт, не более - 0,5
Масса, кг:
ДД-303-И-1...............................0,35
ДД-303-И-2...............................0,6
ДД-303-Д-1...............................0,4
ДД-303-Д-2...............................0,7
Взрывозащищенность
Датчики
соответствуют требованиям "Общих правил взрывобезопасности для
взрывопожароопасных химических, нефтехимических и нефтеперерабатывающих
производств" ПБ 09-170-97 и пригодны для использования в системах
противоаварийной автоматической защиты (ПАЗ).
Датчики выполнены с видом взрывозащиты 0ExiaIICT5 и могут быть установлены во
взрывоопасных зонах помещений всех классов и наружных установок согласно гл. 7.3
ПУЭ и гл. Э111-13 ПТЭ и ПБТ.
Заключение о соответствии требованиям безопасности №1-2000 ИЛ МОС "Сертиум" от
14.11.2000 г.
Монтаж и эксплуатация
Датчики
предназначены для эксплуатации при температуре окружающего воздуха от минус 40
до плюс 60°С и относительной влажности 95% при 35°С и более низких температурах
без конденсации влаги.
Рабочее положение датчика – кожух сверху, ось штуцера в горизонтальной плоскости
с отклонением до 5°.
Крепление датчиков осуществляется к кронштейну, изготавливаемому потребителем,
болтами М6х20, входящими в комплект поставки.
Подключение линий контролируемой среды осуществляется нержавеющими трубками с
наружным диаметром 6 мм.
Электромонтаж выполняют кабелем МКШ 2х0,35 мм2 в соответствии со
схемой электрической соединений, приведенной на рис. 5.
Комплектность
В комплект поставки
входят:
- датчик давления ДД-303-И или датчик перепада давлений ДД-303-Д - 1 шт.
- комплект монтажных частей - 1 компл.
- руководство по эксплуатации - 1 экз.
- паспорт - 1экз.
Пример записи обозначения при заказе
- датчика давления
без разделителя, с диапазоном измерения от 0 до 1 кгс/см2:
"Датчик давления ДД-303-И-1-1,0 ТУ 1281-003-45972137-00";
- датчика перепада давлений с разделителем, с диапазоном измерения от 0 до 0,1
кгс/см2:
"Датчик перепада давлений ДД-303-Д-2-0,1 ТУ 1281-003-45972137-00".
|
Информация c сайта www.tdpribor.ru |
|
|