Подробная информация

bline.gif (87 bytes)
Сделать заказ >>>

Март 2026
ПнВтСрЧтПтСбВс
            1
2 3 4 5 6 7 8
9 10 11 12 13 14 15
16 17 18 19 20 21 22
23 24 25 26 27 28 29
30 31          

Поставки КИПиА и электротехнического оборудования


Пороговый датчик газа с аналоговым выходом WPD/M

Пороговый датчик газа WPD/M с ан

Пороговый датчик газа WPD/M с аналоговым выходом

Пороговый датчик газа WPD/M с аналоговым выходом

Модели

12В:
B20-WPD12/00 Без сенсора
B20-WPD12/M1 Метан (CH4)
B20-WPD12/M2 Сжиженный нефтяной газ (LPG)
B20-WPD12/M3 Угарный газ (CO)
B20-WPD12/M4 Водород (H2)
B20-WPD12/M5 Пары бензина

24В:
B20-WPD24/00 Без сенсора
B20-WPD24/M1 Метан (CH4)
B20-WPD24/M2 Сжиженный нефтяной газ (LPG)
B20-WPD24/M3 Угарный газ (CO)
B20-WPD24/M4 Водород (H2)
B20-WPD24/M5 Пары бензина

Питание

Напряжение питания
WPD12
WPD24


12 В
24 В

Ток потребления

см. таблицу

Рабочие условия

Рабочая температура

см. таблицу

Относительная влажность

см. таблицу

Степень защиты

IP55

Исполнение

Размеры

96 x 59 мм

Вес

173 гр.

Цвет

cветло - серый

Корпус

PC/ABS UL94-V0

Монтаж

настенный

Сменный модуль

Тип

каталитический

Срок службы

5 лет

Время прогрева

<1 минуты

Уровень сигнализации

см. таблицу

Другие характеристики

высоко избирательный, индикация неисправности сменного модуля

Световая сигнализация

 

питание: зеленый
ошибка: желтый
тревога: красный

Параметры выходного сигнала

Воздух

4 мА

Предтревога

12 мА

Тревога

20 мА

Ошибка

<4 мА, >20 мА

Гарантия

2 года

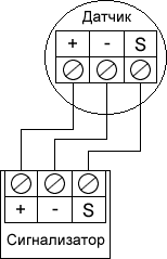
      Электрическая схема подключения порогового датчика газа WPD/M с аналоговым выходом

Электрическая схема подключения порогового датчика газа WPD/M с аналоговым выходом

 

Газ

Модуль датчика

Время срабатывания

Относительная влажность

Рабочая температура

Потребляемая мощность

Уровень предтревоги

Уровень тревоги

 

12 В

24 В

CH4

MOS1

<15 с

5 ÷ 95%

-10/+ 50° С

77 мА

60 мА

6% Н.П.В.

10% Н.П.В.

LPG

MOS2

<15 с

5 ÷ 95%

-10/+ 50° С

77 мА

60 мА

6% Н.П.В.

10% Н.П.В.

CO

MOS3

<30 с

30 ÷ 95%

-5 / + 40° С

33 мА

43 мА

100 ppm

200 ppm

CO

MOS3/X

<30 с

30 ÷ 95%

-5 / + 40° С

33 мА

43 мА

50 ppm

100 ppm

H2

MOS4

<15 с

5 ÷ 95%

-10/+ 50° С

77 мА

60 мА

6% Н.П.В.

10% Н.П.В.

 

Пары бензина

MOS5

<15 с

5 ÷ 95%

-10/+ 50° С

77 мА

60 мА

6% Н.П.В.

10% Н.П.В.

      Пороговый датчик газа WPD/M со сменным модулем MOS предназначен для работы в системах беспрерывного контроля горючих и токсичных газов. Датчик газа имеет пороговый аналоговый выход 4-12-20 mA, соответствующий концентрации контролируемого газа как воздух – предтревога - тревога. Датчик газа работает в комплексе с блоками управления серии ASTRA, WP/DIN и LINEAR, а также с любыми импортными и отечественными блоками управления, имеющими пороговый аналоговый вход 4-12-20 mA. Широкий температурный диапазон, обширный модельный ряд и возможность изменять порог срабатывания тревоги позволяют применять датчик газа как в промышленных котельных и химических лабораториях, так и в подземных стоянках, гаражах и бытовом секторе.
      Применение в датчике газа каталитического элемента высокого разрешения в сочетании с помехоустойчивым устройством электронного управления обеспечивает высокую эффективность датчика газа по выявлению интерферирующих газов, являющихся причиной ложного срабатывания, и гарантирует повышенную точность измерений.
      Использование сменного модуля MOS позволяет оперативно произвести замену отработавшего свой срок или вышедшего из строя модуля и продлить срок службы датчика газа до 12 лет.

Сферы применения:

  • Промышленность

  • Подземные стоянки, гаражи

  • Школьные лаборатории и мастерские

  • Кухни и столовые

  • Вблизи отопительных систем, работающих на газу

  • Котельные

  • Химические лаборатории и другие
    области, где необходим беспрерывный контроль газов

Сменный модуль, используемый пороговым датчиком газа:

MOS

Сменный модуль, используемый пороговым датчиком газа

Пороговый датчик газа
подключается к блокам управления:

ASTRA

Блоки управления ASTRA

WP/DIN

Блоки управления WP/DIN

LINEAR4

Блоки управления LINEAR4

Информация c сайта www.tdpribor.ru

Тел.(4812)386407, 386663, 387597. Факс(4812)385745
E-mail: mail@tdgears.ru