Подробная информация

bline.gif (87 bytes)
Сделать заказ >>>

Март 2026
ПнВтСрЧтПтСбВс
            1
2 3 4 5 6 7 8
9 10 11 12 13 14 15
16 17 18 19 20 21 22
23 24 25 26 27 28 29
30 31          

Поставки КИПиА и электротехнического оборудования


Ф4104-М1 - микроомметр

Микроомметр Ф4104

Микроомметр Ф4104-М1

Измерительный прибор. Микроомметр. Ф4104-М1Измерительный прибор Микроомметр Ф4104-М1 предназначен для измерения сопротивления постоянному току.

Диапазон измерений - от 0-100 мкОм до 0-10МОм (12 диапазонов).

Класс точности 1,5; 2,5 и 4 (в зависимости от диапазона измерения).

Пределы допускаемых значений основной погрешности от конечного значения диапазона измерений :

  • 4% на диапазоне 1-100 мкОм

  • 2.5% на диапазоне 0-1 мОм, 0-10 мОм, 0-100 мОм, 0-1 Ом

  • 1.5% на остальных диапазонах

Условия эксплуатации - от минус 30 ° С до плюс 50 ° С.

Питание – элемент (R20, RL20) 9 шт., сеть 220 В.

Мощность, потребляемая от сети переменного тока не превышает 4 ВА. Ток, потребляемый от химических источников - не превышает 120 мА.

Габаритные размеры, мм – 305х125х155 .

Масса, кг – 4,0.

Данный измерительный прибор выпускается взамен ранее изготавливаемого Ф415.
 

Принцип действия микроомметра Ф4104-М1.

Принцип действия микроомметра Ф4104-М1 основан на измерении величины падения напряжения на измеряемом сопротивлении при прохождении через него оперативного тока заданной величины. При измерении на диапазонах 0-100 мкОм, 0-1 мОм, 0-10 мОм, 0-100 мОм, 0-1 Ом, 0-10 Ом в качестве оперативного тока используется стабилизированный по амплитуде одиночный импульс, на остальных диапазонах - стабилизированный постоянный ток.

Микроомметр Ф4104-М1 состоит из блока питания, стабилизатора тока, измерительного усилителя  с фильтром и генератора синхронизирующих импульсов. При питании прибора от сети входное напряжение понижается до 12-16 В и выпрямляется. Преобразователь напряжения выполнен на транзисторах по схеме с самовозбуждением и стабилизацией выходного напряжения. К выходным клеммам подключается измеряемое сопротивление. 

Падение напряжения с измеряемого сопротивления поступает на вход измерительного усилителя, выполненного на операционных усилителях. Ток, протекающий через измеряемое  сопротивление постоянный, поэтому падение напряжения на измеряемом сопротивлении прямо пропорционально величине измеряемого сопротивления. Для запоминания амплитуды одиночного импульса, когда в качестве оперативного тока используется одиночный импульс, служит запоминающая емкость, которая коммутируется электронным ключом.

Калибровка измерительного усилителя микроомметра Ф4104-М1 осуществляется при помощи переменного резистора КЛБ, при этом на измерительный усилитель поступает сигнал с образцовых резисторов.

Методика и примеры расчета погрешности микроомметра Ф4104-М1 в рабочих условиях применения

Настоящая методика предназначена для расчета максимально возможного значения погрешности микроомметра Ф4104, учитывающего все факторы, влияющие на погрешность измерения.

Пределы допускаемых значений основной погрешности от конечного значения диапазона измерений :

  • 4% на диапазоне 1-100 мкОм

  • 2.5% на диапазоне 0-1 мОм, 0-10 мОм, 0-100 мОм, 0-1 Ом

  • 1.5% на остальных диапазонах

Пределы допускаемых значений вариаций показаний равны пределам допускаемой основной погрешности.

Пределы допускаемых значений дополнительной погрешности, вызванной отклонением микроомметра от нормального положения в любом направлении на 10 равны 1.5% от конечного значения диапазона измерения.

Пределы допускаемых значений дополнительной погрешности, вызванной отклонением напряжения питания на 22В в любую сторону равны пределам допускаемой основной погрешности.

Пределы допускаемых значений дополнительной погрешности микроомметра под влиянием внешнего постоянного однородного магнитного поля с индукцией 0.5 мТл при самом неблагоприятном направлении равны пределам допускаемой основной погрешности.

Пределы допускаемых значений дополнительной погрешности, вызванной протеканием через измерямое сопротивление токов промышленной частоты, не превышающих :

  • на диапазонах измерений 0-100 мкОм, 0-1 мОм, 0-10 мОм - 80 мА

  • на диапазонах 0-100 мОм, 0-1 Ом - 8 мА

равны пределам допускаемой основной погрешности.

Пределы допускаемых значений дополнительной погрешности, вызванной изменением температуры окружающего возраста до любой температуры в педелах рабочих температур, на каждые 10 градусов изменения температуры равны пределам допускаемой основной поргешности.

Пределы допускаемых значений дополнительной погрешности, вызванной изменением относительной влажности окружающего воздуха от нормального значения до максимального равны утроенному значению пределов допускаемой основной погрешности.

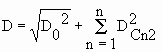
Погрешность измерения в общем случае вычисляеься по формуле - 

где D0 - предел допускаемой основной погрешности, Dcn - предел допускаемой дополнительной погрешности от n-ного фактора.

Перед проведением измерений необходимо уменьшить количество факторов, вызывающих дополнительную погрешность, например установить микроомметр горизонтально, вдали от мощных электромагнитных полей, использовать новые элементы питания и так далее.

Пример расчет погрешности

  • Измеряется сопротивления контакта переключателя
  • температура воздуха - минус 20 градусов С
  • влажность - не более 60%
  • микроомметр питается от элементов питания напряжением 10.5 В
  • установить микроомметр горизонтально возможности нет
  • источники магнитных полей отсутствуют

Измеренная величина стпротивления контакта - Rx = 8 мОм на диапазоне 0-10 мОм.

Погрешность от  температуры Dc1 = (20-(-20))/10*2/5 = 10%

Погрешность от наклона микроомметра Dc2 = 1.5%

D = 10.4%

Относительная погрешность Y может быть рассчитана по формуле

Y = N/Rx*D, где N - конечное значение диапазона измерений.

таким образом, относительная погрешность измерений микроомметра Ф4104 составит :

Y = 10/8*10.4 = 13%

Информация c сайта www.tdpribor.ru

Тел.(4812)386407, 386663, 387597. Факс(4812)385745
E-mail: mail@tdgears.ru